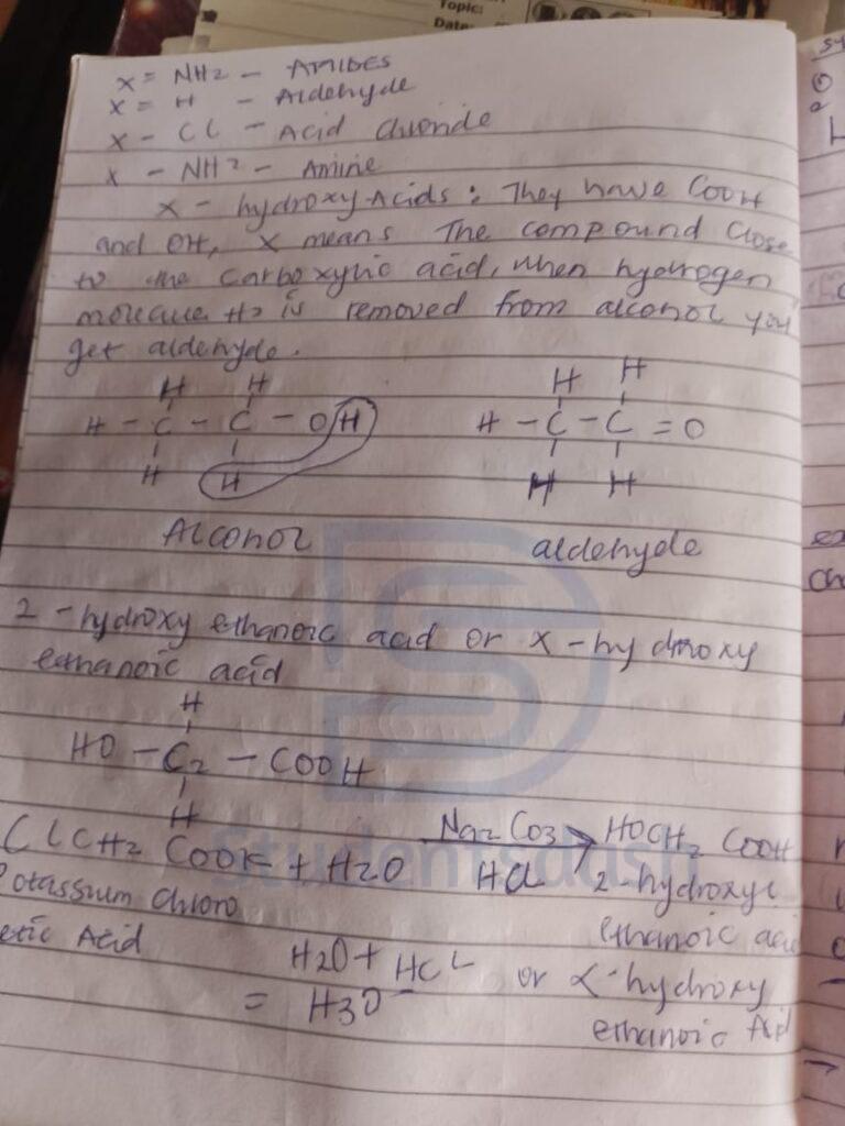
CHM 221 / ICH 221 Class Note
FIRST NOTE
















SECOND NOTE
























Join @Studentsdash on TG COURSE CODE- GST 105 COURSE TITLE- Igbo LAST UPDATE: 6/FEB/2025 More Loading…
Join @Studentsdash on TG BIO 107 Microscopy and Others Chapters Reviewed (BIO 107 is the new…
Join @Studentsdash on TG
Join @Studentsdash on TG COURSE CODE: ECO 101 COURSE TITLE: Principles of Economics Last Updated: 6/FEB/2025…
Join @Studentsdash on TG AMS 104 Note – Principle of project management Chizzy More updates loading….
Join @Studentsdash on TG GST 111 FULL NOTE – English language & Communication Skills Lydia